Что такое Волатильности финансовых рынков: индикаторы, свойства и расчет 

15 ноября 00:41 2018
Рейтинг автора
Автор статьи
Леон Мартынов
Трейдер бинарных опционов с 2014 года.
Написано статей
1481

Рынок – это нестабильная, изменчивая среда, где наблюдаются каждую минуты колебания. Среди успешных практикующих инвесторов — это явление известно как активность рынка. В данной статье мы рассмотрим волатильности финансовых рынков, остановимся на характерных факторах данного явления в сфере торговли. Даже больше, расскажем, как самостоятельно вычислить этот показатель.

Волатильности финансовых рынков: что это такое?

Согласно терминологии, волатильность – это статистический индекс, вычисляющий колебания цены актива за установленный срок. Как известно изменчивость стоимости — это базовый показатель для рынков.

Волатильность делиться на высокую и низкую. Выбирая актив для торговли инвестор, должен учитывать этот момент. Так как от него зависит, как сильно он подтвержден колебаниям цен, а это воздействует на потенциальный профит.

Волатильность – это возможность вычислить будет ли рискованным вложение, и насколько. Так как чем активней колебания цены по активу, тем больше профит, но риски столкнутся с убытками, при неверном прогнозе повышаются. Колебания волатильности финансовых рынков и риски прямо зависимы.

Что влияет на волатильность?

Существует пару типов рыночной активности:

  • Историческая – данный параметр, определяется как среднее квадратичное отклонение. В расчет берутся прошлые показатели за установленный период.

  • Подразумеваемая — определяется по стоимости актива в конкретный период.

Если сравнить их, можно определить, насколько повышена и понижена стоимость актива в этот период.

Существуют разные факторы волатильности рынка, воздействующие на ее размер:

  • Показатель исторической активности рынка – воздействует на разброс изменений. Чем больше этот показатель, тем выше подразумеваемая волатильность.
  • События, происходящие в таких отраслях как: политика, экономика.
  • Ликвидность рынка. Когда происходит нарушение равновесия между покупателями и продавцами, стоимость может снижаться и повышаться, что оказывает влияние на волатильность.
  • Уровни технического анализа. Если пробиты важные уровни, рынок сразу становится нестабильным, что приводит к росту активности рынка.

Характеристики волатильности

Если останавливаться на определении волатильности рынка с точки зрения математики, это сложная концепция, которую далеко не все могут понять и задействовать правильно на практике. Если же рассмотреть характеристики по отдельности, трейдеру проще будет понять рыночную активность. Переходим к составляющим элементам:

  • Цикличность. Повышается волатильность до установленного максимального показателя, после уменьшается до минимальной отметки. Все эти действия повторяются с определенной периодичностью. Есть инвесторы, уверены, что за счет данной характеристики, волатильность предсказывает цены.
  • Стабильность. Бытует мнение, что рыночная активность ведет себя идентично каждый день.
  • Движение к среднему. Для активности рынка характерно возвращение к среднему показателю, который считается нормой. Даже когда волатильность дошла до максимальных и минимальных значений, она вернется к среднему показателю.

Значение волатильности

Измерить показатель рыночной активности можно несколькими вариантами. Самым доступным считается оценка ситуации на рынке без дополнительных математических вычислений. На графике видно, где расположена действующая волатильность относительно прошлого показателя.

Также можно задействовать специальные формулы, которые пускают в ход максимальное и минимальное значения за установленный временной интервал. Этот вариант считается более точным, но сложным в работе. Можно воспользоваться специальным калькулятором или же самостоятельно вручную провести расчеты.

Какие особенности у волатильности

Рыночная активность имеет свои нюансы, от того как их будет задействовать инвестор зависит результативность торговли. К примеру, при небольшой волатильности увеличивается риск, что в момент завершения экспирации стоимость опциона может остаться на прежней позиции, как и при открытии операции. Высокая волатильность считается не менее опасной, поскольку как ранее описанная грозит инвестору потерей средств.

При торговле нужно брать во внимание тот фактор, что волатильности свойственно увеличивается перед публикацией важных новостей и при росте цены на актив из-за прочих катализаторов.

Свойства волатильности

  • Рыночная активность бывает избыточная.
  • Отсутствует линейная корреляция прибыльности по активу по установленному интервалу времени.
  • Повторяющаяся рыночная активность. Это когда за мощными изменениями цены в дальнейшем идут такие же мощные колебания. То есть на рынке присутствует амплитудные движения.
  • Присутствует взаимосвязь с объемами торговли.

Индикаторы волатильности

Теперь приступаем к рассмотрению инструментов — индикаторов волатильности рынка. Известным считается тех. инструмент – ATR, но не реже задействуются линии Боллинджера.

При работе с ATR вычисления поступают в качестве кривой полосы на терминале, отображенной внизу графика цены. Когда кривая полоса движется вниз – это говорит о том, что волатильность рынка уменьшилась, а значит, уменьшается диапазон изменения цены за установленный период времени.

Полосы Боллинджера позволяют отыскать тренд и точку его разворота, а вычисление активности рынка – это дополнительная функция. Инструмент отображает на графике три полосы, крайние создают канал, указывающий как раз на активность рынка. Когда полосы расходятся, рыночная активность увеличивается.

Анализ волатильности рынка

Чтобы провести анализ волатильность фондового рынка, инвестору необходимо ознакомиться с факторами и дополнительными нюансами, которые способны повлиять на решение. Представим, что трейдер желает приобрести акции, если он убедился в повышении активности рынка актива, присутствуют большие шансы заключить сделку в плюс, даже если отсутствует тренд.

Какие факторы оказывают влияние на волатильность

Наибольшее воздействие на активность рынка независимо от актива оказывают события в сфере экономики и политики. Также не последнюю роль отыгрывает государственные новости, к примеру, процентные ставки в странах владельцах валют, которые включены в валютную пару.

Помимо этого на активность рынка воздействует: инфляция, размер государственного долга, ситуация в государстве, как политическая, так и социальная (безработица и т.д.).

Использования сведений о волатильности для принятия решений

Для прогноза колебаний цены актива, инвестору предстоит спрогнозировать изменения волатильности. В качестве варианта можно задействовать метод отслеживания изменений исторической активности рынка на определенных временных интервалах от 10 до 100 дней.

Когда наблюдается ограничение стоимости небольшим диапазоном активности рынка, происходит снижение котировки актива, что говорит о вероятных переменах. В таком случае потребуется предпринять что-то из далее описанных действий:

  • Сделайте ставку на серию сделок. Разработайте систему торговли.
  • Установите как активность рынка высокая или низкая, не беря во внимания перспективы используемого актива.
  • Задействуйте момент. Следует действовать согласно следующей схеме: приобретать колл или выставлять на продажу пут в момент растущего тренда или же действовать, наоборот, при снижении тренда. В данном случае анализ рыночной активности имеет не такое значение, как мощность тренда.

Как применять волатильность на практике?

Лучше всего отдать предпочтение использованию волатильности на небольших интервалах Н1, когда отсутствует возможность ожидать мощного тренда. Высокая волатильность рынка способна предоставить немалый профит.

Как самостоятельно рассчитать волатильность?

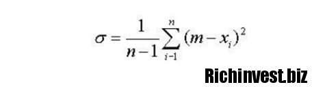
Теперь что касается вычисления рыночной активности собственными руками. Для этого потребуется формула, выглядит она вот так:

Теперь расшифруем каждый показатель, включенный в формулу:

  • σ – волатильность исторического типа.
  • n – количество свеч в используемом интервале.
  • m – среднее арифметическое.
  • xi – число прыжков цены.

Обратите внимание, что нужно вычислить дополнительно среднее арифметическое, для этого предстоит поработать со следующей формулой:

Но как показывает практика, большая часть современных инвесторов отдают предпочтение применению индикаторов или калькуляторов для вычисления активности рынка.

Звёзд: 1Звёзд: 2Звёзд: 3Звёзд: 4Звёзд: 5 (1 оценок, среднее: 5,00 из 5)
Загрузка...
 
  Рубрики:
  

Комментарии VK:


Написать комментарий!

0 Комментариев

Пока нет комментариев!

Станьте первым начните комментировать!.

Добавить комментарий

Ваши персональные данные в безопасности Ваш e-mail не будет опубликован и персональные данные не будут переданы третьим лицам.
Все поля обязательны к заполнению.